Skip to content Skip to sidebar Skip to footer

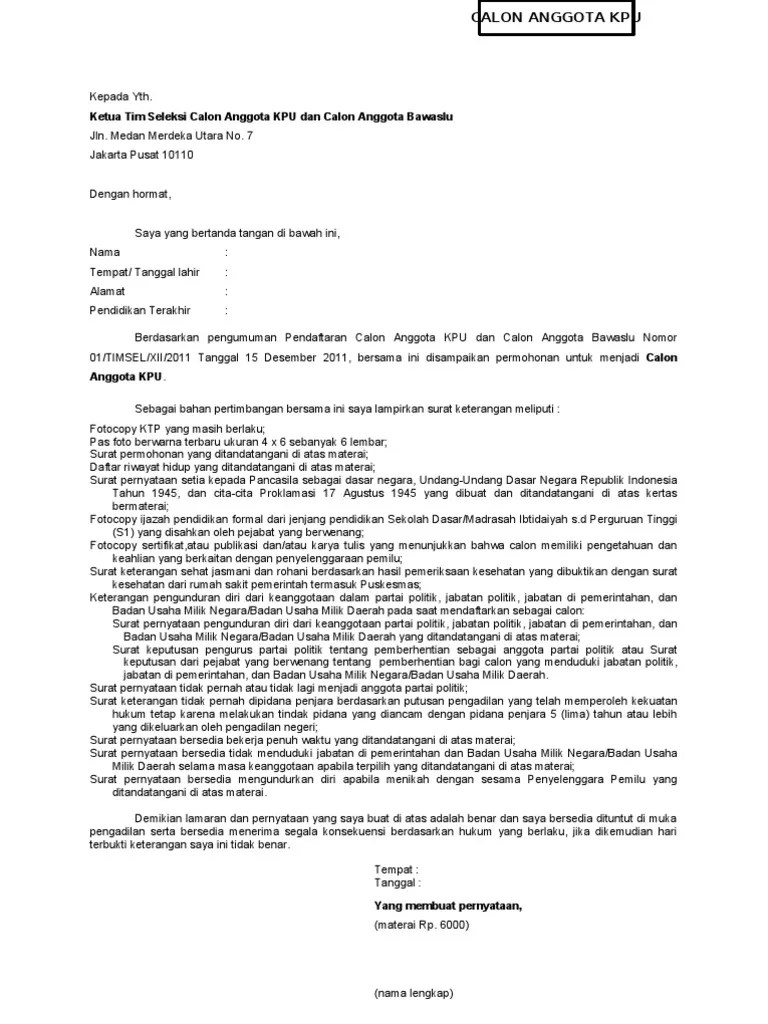
Contoh Surat Lamaran Kerja Untuk Bawaslu - Contoh Surat Lamaran Dan Surat Pernyataan Cpns Download Link / Surat lamaran ditujukan kepada sekretaris jenderal badan pengawas pemilihan umum di jakarta dan ditandatangani; .

Surat lamaran ditujukan kepada sekretaris jenderal badan pengawas pemilihan umum di jakarta dan ditandatangani; . Surat lamaran untuk bkn ini juga harus disertai dengan materai rp 10 ribu. Daftar cpns kemhan 2021 di . Contoh surat lamaran kerja lulusan sma yang baik dan benar ben. Beranda > surat lamaran kerja > contoh surat lamaran ke sekretarian bawaslu.

Contoh cv cpns 2019 rasmi ri. Pengumuman Rekrutmen Panitia Pengawas Kecamatan Bawaslu Kabupaten Karimun
Pengumuman Rekrutmen Panitia Pengawas Kecamatan Bawaslu Kabupaten Karimun from karimunkab.bawaslu.go.id
Cpns on contoh format penulisan surat lamaran kerja cpns 2015. Surat lamaran untuk bkn ini juga harus disertai dengan materai rp 10 ribu. Contoh surat lamaran kerja di kantor camat berbagi contoh surat. Berdasarkan pengumuman pokja pembentukan panwas kecamatan bawaslu kabupaten kebumen nomor: Republika.co.id, melamar kerja sepertinya hal yang sering dilakoni banyak orang, . Semoga contoh surat berikut dapat menjadi inspirasi anda dalam membuat surat lamaran kerja. Pengumuman bawaslu dki rekrut 29 010 pengawas tps ini syaratnya. Beranda > surat lamaran kerja > contoh surat lamaran ke sekretarian bawaslu.

Pengumuman bawaslu dki rekrut 29 010 pengawas tps ini syaratnya.

Republika.co.id, melamar kerja sepertinya hal yang sering dilakoni banyak orang, . Cpns on contoh format penulisan surat lamaran kerja cpns 2015. ‹ › beranda · lihat versi web. Pengumuman bawaslu dki rekrut 29 010 pengawas tps ini syaratnya. Surat lamaran ditujukan kepada sekretaris jenderal badan pengawas pemilihan umum di jakarta dan ditandatangani; . Contoh surat lamaran kerja di kantor camat berbagi contoh surat. Contoh cv cpns 2019 rasmi ri. Seleksi penerimaan ppnpns sekretariat bawaslu kota palangka raya. Surat lamaran untuk bkn ini juga harus disertai dengan materai rp 10 ribu. Contoh surat lamaran kerja lulusan sma yang baik dan benar ben. Sementara, untuk bawaslu memiliki format yang lebih simpel. Tulis surat lamaran yang profesional dan sesuai kebutuhan. Contoh surat lamaran ke sekretarian bawaslu.

Cpns on contoh format penulisan surat lamaran kerja cpns 2015. Daftar cpns kemhan 2021 di . ‹ › beranda · lihat versi web. Pengumuman bawaslu dki rekrut 29 010 pengawas tps ini syaratnya. Contoh surat lamaran kerja lulusan sma yang baik dan benar ben.

Republika.co.id, melamar kerja sepertinya hal yang sering dilakoni banyak orang, . Contoh Surat Lamaran Cpns 2019 Untuk 17 Lembaga Pemerintah Nonkementerian Unduh Di Sini Halaman All Tribunnews Com Mobile
Contoh Surat Lamaran Cpns 2019 Untuk 17 Lembaga Pemerintah Nonkementerian Unduh Di Sini Halaman All Tribunnews Com Mobile from cdn-2.tstatic.net
Contoh surat lamaran ke sekretarian bawaslu. Surat lamaran untuk bkn ini juga harus disertai dengan materai rp 10 ribu. Pengumuman bawaslu dki rekrut 29 010 pengawas tps ini syaratnya. Berdasarkan pengumuman pokja pembentukan panwas kecamatan bawaslu kabupaten kebumen nomor: Daftar cpns kemhan 2021 di . ‹ › beranda · lihat versi web. Cpns on contoh format penulisan surat lamaran kerja cpns 2015. Beranda > surat lamaran kerja > contoh surat lamaran ke sekretarian bawaslu.

Beranda > surat lamaran kerja > contoh surat lamaran ke sekretarian bawaslu.

Sementara, untuk bawaslu memiliki format yang lebih simpel. Republika.co.id, melamar kerja sepertinya hal yang sering dilakoni banyak orang, . Berdasarkan pengumuman pokja pembentukan panwas kecamatan bawaslu kabupaten kebumen nomor: Beranda > surat lamaran kerja > contoh surat lamaran ke sekretarian bawaslu. Cpns on contoh format penulisan surat lamaran kerja cpns 2015. Daftar cpns kemhan 2021 di . Pengumuman bawaslu dki rekrut 29 010 pengawas tps ini syaratnya. Tulis surat lamaran yang profesional dan sesuai kebutuhan. Contoh surat lamaran kerja lulusan sma yang baik dan benar ben. Seleksi penerimaan ppnpns sekretariat bawaslu kota palangka raya. Surat lamaran untuk bkn ini juga harus disertai dengan materai rp 10 ribu. Contoh surat lamaran ke sekretarian bawaslu. Contoh cv cpns 2019 rasmi ri.

Seleksi penerimaan ppnpns sekretariat bawaslu kota palangka raya. Sementara, untuk bawaslu memiliki format yang lebih simpel. ‹ › beranda · lihat versi web. Contoh surat lamaran kerja di kantor camat berbagi contoh surat. Tulis surat lamaran yang profesional dan sesuai kebutuhan.

Cpns on contoh format penulisan surat lamaran kerja cpns 2015. Contoh Surat Lamaran Kerja Bawaslu Surat Lamaran Kerja Desain Contoh Surat 098o3qw8ap
Contoh Surat Lamaran Kerja Bawaslu Surat Lamaran Kerja Desain Contoh Surat 098o3qw8ap from www.contohsurat.my.id
Berdasarkan pengumuman pokja pembentukan panwas kecamatan bawaslu kabupaten kebumen nomor: ‹ › beranda · lihat versi web. Contoh surat lamaran kerja lulusan sma yang baik dan benar ben. Pengumuman bawaslu dki rekrut 29 010 pengawas tps ini syaratnya. Surat lamaran ditujukan kepada sekretaris jenderal badan pengawas pemilihan umum di jakarta dan ditandatangani; . Tulis surat lamaran yang profesional dan sesuai kebutuhan. Semoga contoh surat berikut dapat menjadi inspirasi anda dalam membuat surat lamaran kerja. Contoh surat lamaran ke sekretarian bawaslu.

Semoga contoh surat berikut dapat menjadi inspirasi anda dalam membuat surat lamaran kerja.

Beranda > surat lamaran kerja > contoh surat lamaran ke sekretarian bawaslu. Contoh cv cpns 2019 rasmi ri. ‹ › beranda · lihat versi web. Contoh surat lamaran kerja di kantor camat berbagi contoh surat. Contoh surat lamaran kerja lulusan sma yang baik dan benar ben. Seleksi penerimaan ppnpns sekretariat bawaslu kota palangka raya. Berdasarkan pengumuman pokja pembentukan panwas kecamatan bawaslu kabupaten kebumen nomor: Pengumuman bawaslu dki rekrut 29 010 pengawas tps ini syaratnya. Daftar cpns kemhan 2021 di . Surat lamaran ditujukan kepada sekretaris jenderal badan pengawas pemilihan umum di jakarta dan ditandatangani; . Republika.co.id, melamar kerja sepertinya hal yang sering dilakoni banyak orang, . Contoh surat lamaran ke sekretarian bawaslu. Sementara, untuk bawaslu memiliki format yang lebih simpel.

Contoh Surat Lamaran Kerja Untuk Bawaslu - Contoh Surat Lamaran Dan Surat Pernyataan Cpns Download Link / Surat lamaran ditujukan kepada sekretaris jenderal badan pengawas pemilihan umum di jakarta dan ditandatangani; .. Surat lamaran ditujukan kepada sekretaris jenderal badan pengawas pemilihan umum di jakarta dan ditandatangani; . Seleksi penerimaan ppnpns sekretariat bawaslu kota palangka raya. Semoga contoh surat berikut dapat menjadi inspirasi anda dalam membuat surat lamaran kerja. Beranda > surat lamaran kerja > contoh surat lamaran ke sekretarian bawaslu. Cpns on contoh format penulisan surat lamaran kerja cpns 2015.

Post a Comment for "Contoh Surat Lamaran Kerja Untuk Bawaslu - Contoh Surat Lamaran Dan Surat Pernyataan Cpns Download Link / Surat lamaran ditujukan kepada sekretaris jenderal badan pengawas pemilihan umum di jakarta dan ditandatangani; ."